开云kaiyun体育欢迎您!
学院新闻
通知公告
人才培养
下载园地
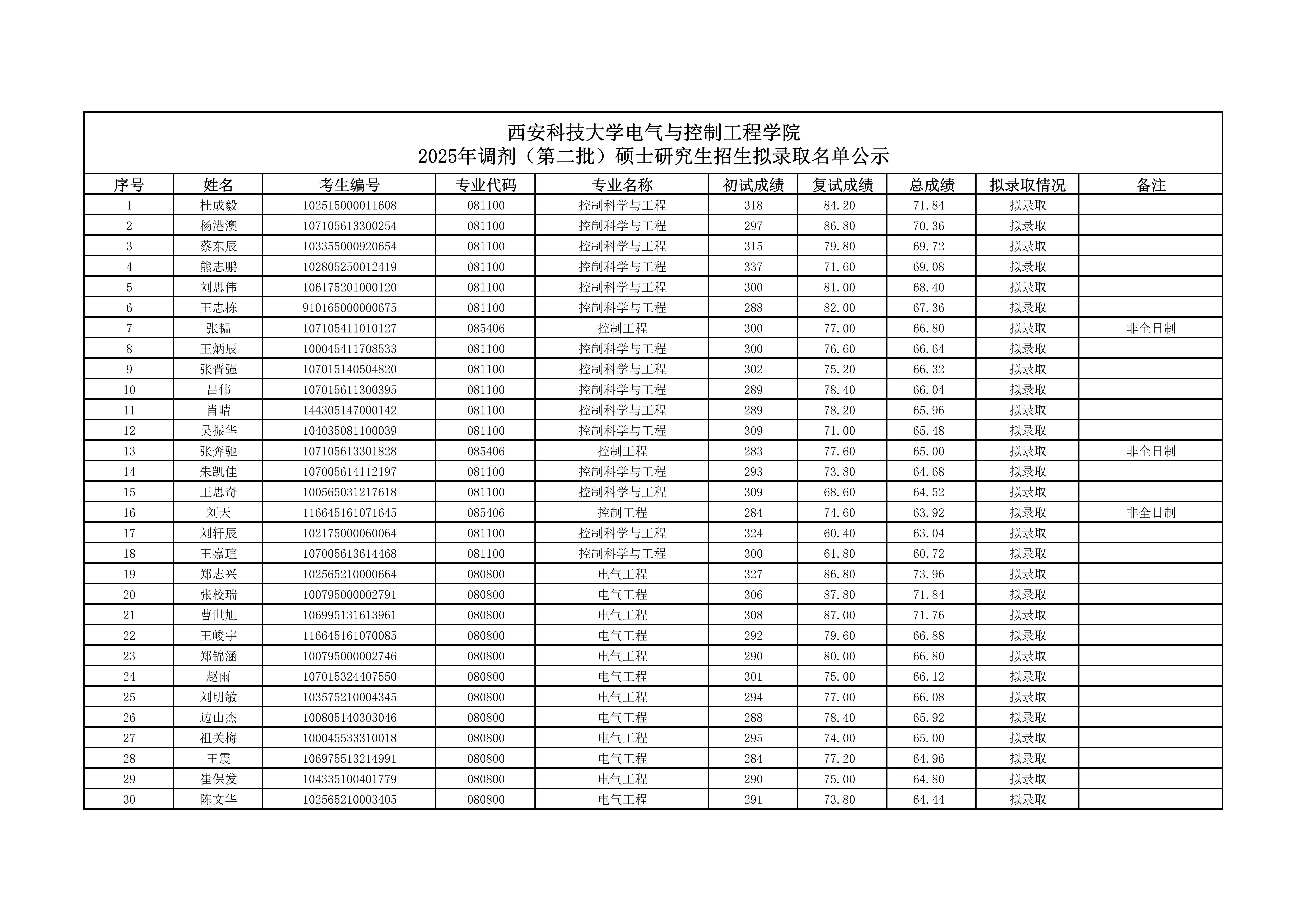
现公布第二批调剂复试拟录取名单,实际录取情况根据学校各专业发展需求、一志愿录取、调剂录取等情况统筹调整,第二批调剂拟录取名单以公示为准。